Zmierz długość podstawy i wysokość jej odpowiadającą oraz policz pole trójkąta.
a = 2 cm
h = 2,5 cm
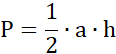
Wzór na pole trójkąta o boku a i wysokości opuszczonej na ten bok wynosi:
Ćwiczenie 1.
Ćwiczenie 2.
Ćwiczenie 3.
Ćwiczenie 4.
Ćwiczenie 5.
Podpunkt a)
Podpunkt b)
Podpunkt c)
Podpunkt d)
Ćwiczenie 6.
Ćwiczenie 7.
Podpunkt e)
Podpunkt f)
Ćwiczenie 8.
Ćwiczenie 9.
Ćwiczenie 10.
Ćwiczenie 11.
Ćwiczenie 12.