Zamień liczby na ułamki dziesiętne.
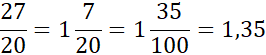
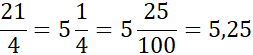
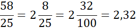
Zamień ułamek zwykły na ułamek dziesiętny. Rozszerz mianownik do liczby 10, 100, 1000 itd. Mianownik mówi nam, ile miejsc po przecinku będzie miał ułamek (ilość zer). Licznik oznacza liczbę po przecinku, a liczba całości liczbę przed przecinkiem.
Ćwiczenie 1.
56Ćwiczenie 3.
56Ćwiczenie 5.
57Ćwiczenie 8.
57Ćwiczenie 9.
57Ćwiczenie 10.
58Ćwiczenie 11.
58Ćwiczenie 1.
59Ćwiczenie 3.
59Ćwiczenie 4.
59Ćwiczenie 8.
60Ćwiczenie 9.
60Ćwiczenie 1.
61Ćwiczenie 2.
61Ćwiczenie 4
62Ćwiczenie 5
62Ćwiczenie 6
62Ćwiczenie 1.
63Ćwiczenie 3.
63Ćwiczenie 3.
65Ćwiczenie 4.
65Ćwiczenie 7.
66Ćwiczenie 8.
66Ćwiczenie 9.
66Ćwiczenie 2.
67Ćwiczenie 4.
68Ćwiczenie 6.
68Ćwiczenie 1.
69Ćwiczenie 2.
69Ćwiczenie 3.
69Ćwiczenie 4.
69Ćwiczenie 7.
70Ćwiczenie 1.
71Ćwiczenie 2.
71Ćwiczenie 3.
71Ćwiczenie 5.
71Ćwiczenie 2.
73Ćwiczenie 1.
75Ćwiczenie 3.
75Ćwiczenie 4.
75Ćwiczenie 1.
77Ćwiczenie 3.
78Ćwiczenie 4.
78Ćwiczenie 6.
78Ćwiczenie 1.
79Ćwiczenie 2.
79Ćwiczenie 3.
79Ćwiczenie 4.
79Ćwiczenie 6.
80Ćwiczenie 7.
80Ćwiczenie 8.
80Ćwiczenie 9.
80Ćwiczenie 10.
80Ćwiczenie 11.
80Ćwiczenie 12.
81Ćwiczenie 14.
81Ćwiczenie 16.
81Ćwiczenie 1.
82Ćwiczenie 2.
82Ćwiczenie 4.
83Ćwiczenie 6.
83Ćwiczenie 7.
84Ćwiczenie 2.
85Ćwiczenie 3.
85Ćwiczenie 4.
85Ćwiczenie 5.
85Ćwiczenie 6.
85Ćwiczenie 7.
85Ćwiczenie 10.
86Ćwiczenie 12.
86