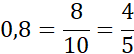
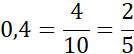
Zamień ułamek dziesiętny na zwykły i skróć go.
Wpisz ułamek dziesiętny bez przecinka do licznika, a do mianownika wpisz 10 (liczba zer zależy od miejsc po przecinku).
Ćwiczenie 1.
56Ćwiczenie 3.
56Ćwiczenie 5.
57Ćwiczenie 8.
57Ćwiczenie 9.
57Ćwiczenie 10.
58Ćwiczenie 11.
58Ćwiczenie 1.
59Ćwiczenie 3.
59Ćwiczenie 4.
59Ćwiczenie 8.
60Ćwiczenie 9.
60Ćwiczenie 1.
61Ćwiczenie 2.
61Ćwiczenie 4
62Ćwiczenie 5
62Ćwiczenie 6
62Ćwiczenie 1.
63Ćwiczenie 3.
63Ćwiczenie 3.
65Ćwiczenie 4.
65Ćwiczenie 7.
66Ćwiczenie 8.
66Ćwiczenie 9.
66Ćwiczenie 2.
67Ćwiczenie 4.
68Ćwiczenie 6.
68Ćwiczenie 1.
69Ćwiczenie 2.
69Ćwiczenie 3.
69Ćwiczenie 4.
69Ćwiczenie 7.
70Ćwiczenie 1.
71Ćwiczenie 2.
71Ćwiczenie 3.
71Ćwiczenie 5.
71Ćwiczenie 2.
73Ćwiczenie 1.
75Ćwiczenie 3.
75Ćwiczenie 4.
75Ćwiczenie 1.
77Ćwiczenie 3.
78Ćwiczenie 4.
78Ćwiczenie 6.
78Ćwiczenie 1.
79Ćwiczenie 2.
79Ćwiczenie 3.
79Ćwiczenie 4.
79Ćwiczenie 6.
80Ćwiczenie 7.
80Ćwiczenie 8.
80Ćwiczenie 9.
80Ćwiczenie 10.
80Ćwiczenie 11.
80Ćwiczenie 12.
81Ćwiczenie 14.
81Ćwiczenie 16.
81Ćwiczenie 1.
82Ćwiczenie 2.
82Ćwiczenie 4.
83Ćwiczenie 6.
83Ćwiczenie 7.
84Ćwiczenie 2.
85Ćwiczenie 3.
85Ćwiczenie 4.
85Ćwiczenie 5.
85Ćwiczenie 6.
85Ćwiczenie 7.
85Ćwiczenie 10.
86Ćwiczenie 12.
86