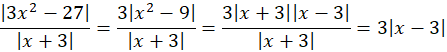
W tym zadaniu musisz uprościć wyrażenie
Skorzystaj z tego, że |na|=n|a| i zapisz wyrażenia w prostszej postaci.
Ćwiczenie 1
185Zadanie 1
187Zadanie 2
187Zadanie 3
187Zadanie 4
187Zadanie 5
187Zadanie 1
199Zadanie 2
199Zadanie 3
199Zadanie 4
199Zadanie 10
199Zadanie 1
203Zadanie 6
203Zadanie 11
203Zadanie 1
207Zadanie 2
207Zadanie 3
207Zadanie 4
207Zadanie 1
211Zadanie 2
211Zadanie 4
211Zadanie 1
218Zadanie 2
218Zadanie 3
218Zadanie 5
219Zadanie 6
219Zadanie 9
219Ćwiczenie 3
224Zadanie 7
225Zadanie 8
226Ćwiczenie 1
227Ćwiczenie 2
227Ćwiczenie 3
229Zadanie 1
238Zadanie 2
238Zadanie 3
238Zadanie 4
239Zadanie 5
239Zadanie 6.
239Zadanie 7
239Zadanie 10
239Zadanie 11
240Zadanie 12
240Zadanie 13
240Zadanie 14
240Ćwiczenie 3
242Zadanie 1
246Zadanie 2
246Zadanie 3
246Zadanie 4
246Zadanie 6
246Zadanie 7
246