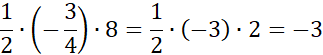
W tym zadaniu musisz wykonać podane działanie w możliwie najprostszy sposób.
Ćwiczenie 1.
Ćwiczenie 2.
Podpunkt a)
Podpunkt b)
Podpunkt c)
Podpunkt d)
Ćwiczenie 3.
Ćwiczenie 4.
Ćwiczenie 5.
Ćwiczenie 6.
Ćwiczenie 7.
Ćwiczenie 8.
Ćwiczenie 9.
Ćwiczenie 10.
Ćwiczenie 11.
Ćwiczenie 12.
Ćwiczenie 13.
Ćwiczenie 14.
Podpunkt e)
Podpunkt f)
Podpunkt g)
Podpunkt h)
Ćwiczenie 15.
Ćwiczenie 16.
Ćwiczenie 17.
Ćwiczenie 18.
Ćwiczenie 19.
Podpunkt i)