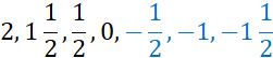
Zadaniu musisz dopisać trzy kolejne liczby na podstawie zastosowanej tu reguły.
Rozwiązanie
Wyjaśnienie
W pierwszym kroku oblicz różnicę pomiędzy dwoma podanymi liczbami: Zauważ, że każda kolejna liczba jest mniejsza o . Teraz wystarczy obliczyć trzy kolejne liczby: