W tym zadaniu musisz zapisać podane liczby w postaci ilorazu liczb całkowitych, udowadniając, że należą one do liczb wymiernych.
Liczby wymierne takie liczby, które możemy zapisać w postaci jako iloraz liczb całkowitych. Dzielnik nie może być równy 0.
Ćwiczenie 1.
Ćwiczenie 2.
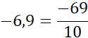
Podpunkt a)
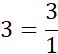
Podpunkt b)
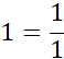
Podpunkt c)
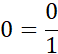
Podpunkt d)
Ćwiczenie 3.
Ćwiczenie 4.
Ćwiczenie 5.
Ćwiczenie 6.
Ćwiczenie 7.
Ćwiczenie 8.
Ćwiczenie 9.
Ćwiczenie 10.
Ćwiczenie 11.
Ćwiczenie 12.
Ćwiczenie 13.
Ćwiczenie 14.
Podpunkt e)
Podpunkt f)
Podpunkt g)
Podpunkt h)
Ćwiczenie 15.
Ćwiczenie 16.
Ćwiczenie 17.
Ćwiczenie 18.
Ćwiczenie 19.
Podpunkt i)