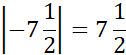
W tym zadaniu musisz uzupełnić wartości bezwzględne podanych liczb.
Wartość bezwzględna to wartość danej liczby nieuwzględniająca znaku. Jest ona zawsze dodatnia.
Ćwiczenie 1.
Ćwiczenie 2.
Podpunkt a)
Podpunkt b)
Podpunkt c)
Podpunkt d)
Ćwiczenie 3.
Ćwiczenie 4.
Ćwiczenie 5.
Ćwiczenie 6.
Ćwiczenie 7.
Ćwiczenie 8.
Ćwiczenie 9.
Ćwiczenie 10.
Ćwiczenie 11.
Ćwiczenie 12.
Ćwiczenie 13.
Ćwiczenie 14.
Podpunkt e)
Podpunkt f)
Podpunkt g)
Podpunkt h)
Ćwiczenie 15.
Ćwiczenie 16.
Ćwiczenie 17.
Ćwiczenie 18.
Ćwiczenie 19.
Podpunkt i)