W tym zadaniu musisz wstawić znak mniejszości, równości lub większości.
Wyrażenie jest mniejsze od 0.
Ćwiczenie 1.
Ćwiczenie 2.
Podpunkt a)
Podpunkt b)
Podpunkt c)
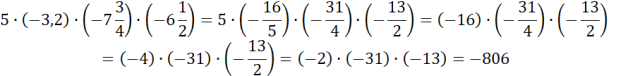
Podpunkt d)
Ćwiczenie 3.
Ćwiczenie 4.
Ćwiczenie 5.
Ćwiczenie 6.
Ćwiczenie 7.
Ćwiczenie 8.
Ćwiczenie 9.
Ćwiczenie 10.
Ćwiczenie 11.
Ćwiczenie 12.
Ćwiczenie 13.
Ćwiczenie 14.
Podpunkt e)
Podpunkt f)
Podpunkt g)
Podpunkt h)
Ćwiczenie 15.
Ćwiczenie 16.
Ćwiczenie 17.
Ćwiczenie 18.
Ćwiczenie 19.
Podpunkt i)