Masz uzupełnić drzewka odpowiednimi liczbami.
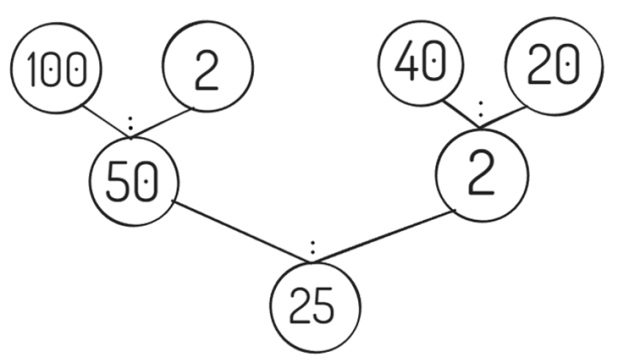
Obliczenia na drzewkach wykonuj od góry do dołu, w taki sposób, że operację matematyczną (w tym przypadku dzielenie) zapisaną pomiędzy kółeczkami wykonujesz na liczbach w tych kółkach, a wynik piszesz w kółeczku pod spodem. Liczba w kółeczku na samym dole to wynik działania.
Zadanie 2.
5Zadanie 3.
5Zadanie 4.
5Zadanie 1.
6Zadanie 2.
6Zadanie 2.
7Zadanie 3.
7Zadanie 1.
8Zadanie 1.
9Zadanie 3.
9Zadanie 1.
10Zadanie 1.
11Zadanie 2.
11Zadanie 1.
12Zadanie 3.
14Zadanie 4.
14Zadanie 1.
14Zadanie 3.
15Zadanie 1.
15Zadanie 2.
16Zadanie 4.
16Zadanie 1.
17Zadanie 2.
17Zadanie 3.
17Zadanie 4.
18Zadanie 1.
18Zadanie 3.
18Zadanie 1.
19Zadanie 3.
19Zadanie 1.
20Zadanie 2.
20Zadanie 4.
21