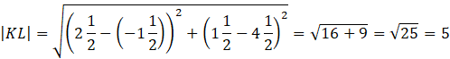
W tym zadaniu musisz narysować układ współrzędnych, a w nim odcinek o podanych końcach. Następnie musisz obliczyć długość narysowanego odcinka.
Na początek zaznacz podane współrzędne i połącz, aby otrzymać odcinek. Aby obliczyć długość odcinka, skorzystaj ze wzoru:
Zadanie 1.
124Zadanie 2.
124Zadanie 4.
124Zadanie 8.
125Zadanie 13.
125Zadanie 5.
127Zadanie 6.
127Zadanie 8.
128Zadanie 9.
128Zadanie 10.
128Zadanie 11.
128Zadanie 12.
128Zadanie 14.
128Zadanie 15.
129Zadanie 17.
129Zadanie 18.
129Zadanie 19.
129Zadanie 20.
129Zadanie 21.
129Zadanie 1.
130Zadanie 2.
130Zadanie 6.
130Zadanie 7.
130Zadanie 10.
131Zadanie 12.
131Zadanie 18.
131Zadanie 20.
132Zadanie 22.
132Zadanie 1.
133Zadanie 2.
133Zadanie 3.
133Zadanie 4.
133Zadanie 5.
133Zadanie 8.
134Zadanie 11.
134Zadanie 13.
134Zadanie 14.
134Zadanie 17.
135Zadanie 22.
135Zadanie 15.
137Zadanie 16.
137Zadanie 17.
137