Skul.pl
  • Opracowania zadań z podręczników
  • Matematyka. Klasa 8. Zeszyt ćwiczeń - rozwiązania i odpowiedzi
  • Zadanie 3.

Matematyka. Klasa 8. Zeszyt ćwiczeń - rozwiązania i odpowiedzi

Zeszyt ćwiczeń, Wydawnictwo: WSiP
Poprzednie

Zadanie 3. - strona 41

Następne

Zadanie

Oblicz objętość czworościanu zbudowanego z trójkątów prostokątnych, których przyprostokątne są długości .

A.

B.

C.

D.

Rozwiązanie

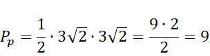
- pole podstawy

- objętość

Odpowiedź: A.

Skul

Wyjaśnienie

Objętość ostrosłupa to pole podstawy razy wysokości ostrosłupa. W podstawie tego ostrosłupa jest trójkąt prostokątny. Oblicz pole powierzchni trójkąta z podstawy i pomnóż razy wyskości.

Poprzednie
Następne

Matematyka - wybrane pytania

Ćwiczenie Co było na lekcji 5, strona 39, Matematyka. Klasa 6. Zeszyt ćwiczeń. Część 1 - rozwiązania i odpowiedzi
Zadanie Test A. 8., strona 24, Matematyka. Klasa 8. Zbiór zadań - rozwiązania i odpowiedzi
Ćwiczenie 26., strona 257, Matematyka. Klasa 4. Podręcznik – rozwiązania i odpowiedzi
Ćwiczenie podejmij temat 3, strona 30, Matematyka. Klasa 6. Podręcznik. Część 2 - rozwiązania i odpowiedzi
Zadanie 5., strona 52, Prosto do matury. Matematyka. Klasa 2. Zakres podstawowy. Podręcznik - rozwiązania i odpowiedzi
Zadanie 2., strona 139, MATeMAtyka. Klasa 3. Zbiór zadań. Zakres podstawowy – rozwiązania i odpowiedzi
Ćwiczenie 1, strona 81, Matematyka. Klasa 8. Zeszyt ćwiczeń - rozwiązania i odpowiedzi
Zadanie 9., strona 14, Matematyka wokół nas. Klasa 7. Podręcznik - rozwiązania i odpowiedzi
Zadanie 6, strona 109, Matematyka. Klasa 5. Podręcznik. Część 1 - rozwiązania i odpowiedzi
Zadanie 12, strona 33, Matematyka. Klasa 4. Zbiór zadań - rozwiązania i odpowiedzi
REKLAMA
Skul
Zadania z tego działu
4. Ostrosłupy
36
4.1 Własności ostrosłupów
36

Zadanie 1.

36

Zadanie 2.

36

Zadanie 3.

36

Zadanie 4.

36

Zadanie 5.

37

Zadanie 6.

37

Zadanie 7.

37

Zadanie 8.

37
4.2 Pole powierzchni ostrosłupa
38

Zadanie 1.

38

Zadanie 2.

38

Zadanie 3.

38

Zadanie 4.

38

Zadanie 5.

39

Zadanie 6.

39

Zadanie 7.

39

Zadanie 8.

40

Zadanie 9.

40

Zadanie 10.

40
4.3 Objętość ostrosłupa
41

Zadanie 1.

41

Zadanie 2.

41

Zadanie 3.

41

Zadanie 4.

41

Zadanie 5.

42

Zadanie 6.

42

Zadanie 7.

42

Zadanie 8.

42
4.4 Odcinki i kąty w ostrosłupach
43

Zadanie 1.

43

Zadanie 2.

43

Zadanie 3.

43

Zadanie 4.

44

Podpunkt I

44

Podpunkt II)

44

Zadanie 5.

44

Zadanie 6.

44

Zadanie 7.

45

Zadanie 8.

45

Zadanie 9.

45

Zadanie 10.

45
Pełny spis treści
Skul
Artboard 1
Skul.pl
  • Napisz do nas
  • FAQ
  • Mapa Serwisu
  • Google Play
  • App Store

Korzystanie z portalu oznacza akceptację Regulaminu.
Polityka prywatności. Ustawienia preferencji. Copyright: INTERIA.PL 1999-2023 Wszystkie prawa zastrzeżone.