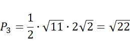
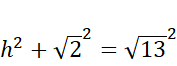
Oblicz pola trzech trójkątów prostokątnych. Następnie wykorzystując twierdzenie Pitagorasa, wylicz długości przeciwprostokątnych tych trójkątów i znając ich długości oblicz wysokość czwartego trójkąta, korzystając ze wzoru na pole trójkąta oblicz jego pole. Dodaj do siebie pola wszystkich trójkątów.