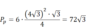
Pole powierzchni całkowitej tego ostrosłupa jest równe
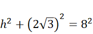
Pole podstawy tego ostrosłupa to suma pól 6 takich samych trójkątów równobocznych o boku równym długości krawędzi podstawy. Pole powierzchni bocznej to suma 6 takich samych trójkątów, które są ścianami tego ostrosłupa. Oblicz wysokość ściany bocznej korzystając z twierdzenia Pitagorasa, a następnie pole jednej ściany bocznej. Dodaj do siebie wszystkie pola.