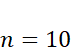
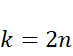
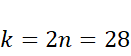
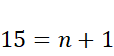
Odpowiedź: Jeśli ostrosłup ma 15 wierzchołków, to ma B. 28.
Odpowiedź: Jeśli ostrosłup ma 20 krawędzi, to ma C. 11.
W obu przypadkach oblicz ilość kątów wielokąta w podstawie ostrosłupa, a następnie oblicz potrzebne wartości pamiętając o zależnościach zachodzących w każdym ostrosłupie.