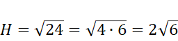
Odpowiedź: Wysokość tego ostrosłupa jest równa
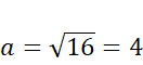
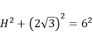
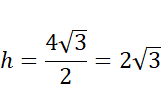
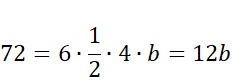
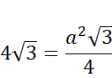
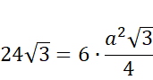
Podstawą ostrosłupa prawidłowego sześciokątnego jest sześciokąt, jest on zbudowany z sześciu takich samych trójkątów równobocznych. Korzystając z tego oraz ze wzoru na pole trójkąta równobocznego oblicz długość krawędzi podstawy. Pole powierzchni bocznej tego ostrosłupa składa się z pól sześciu takich samych trójkątów. Znając wartość pola powierzchni bocznej oraz długość podstawy trójkątów, które są ścianami bocznymi oblicz wysokość ściany bocznej. Następnie Korzystając z twierdzenia Pitagorasa dla trójkąta stworzonego przez wysokość ściany bocznej, wysokość ostrosłupa i odcinek łączący spodki tych wysokości oblicz wysokość tego ostrosłupa.