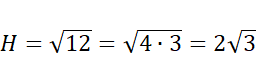
Odpowiedź: Wysokość tego ostrosłupa jest równa
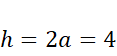
Zauważ, że trójkąt utworzony przez wysokość ostrosłupa, wysokość ściany bocznej tego ostrosłupa oraz odcinek łączący spodki tych wysokości jest połową trójkąta równobocznego. Odcinek łączący spodki wysokości jest równy połowie boku kwadratu. Wysokość ściany bocznej tego ostrosłupa jest równa dwa razy długości odcinka łączącego spodkiem wysokości. Wysokość ostrosłupa wylicz z twierdzenia Pitagorasa.