Odpowiedź: Objętość tego ostrosłupa jest równa
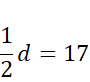
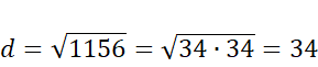
Najpierw oblicz pole podstawy tego ostrosłupa. Następnie Korzystając z twierdzenia Pitagorasa oblicz długość przekątnej podstawy tego ostrosłupa. Ponownie skorzystaj z twierdzenia Pitagorasa tym razem dla trójkąta prostokątnego powstałego z wysokości ostrosłupa, połowy jego przekątnej i krawędzi bocznej. Wylicz objętość, która jest równa jednej trzeciej iloczynu wysokości ostrosłupa i pola podstawy.