Odpowiedź: D.
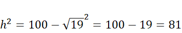
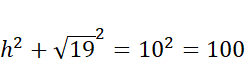
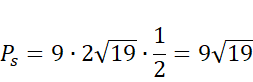
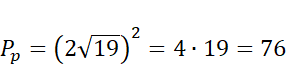
Pole powierzchni całkowitej ostrosłupa ta suma pól wszystkich jego ścian. Najpierw oblicz pole kwadratowej podstawy. Korzystając z twierdzenia Pitagorasa, wylicz wysokość ściany bocznej. Następnie oblicz pole jednej ściany bocznej i pomnóż je przez 4.