Odpowiedź: Pole powierzchni całkowitej ostrosłupa II wynosi
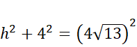
W podstawie tego ostrosłupa jest sześciokąt foremny. Składa się on z 6 trójkątów równobocznych o boku długości 8. Oblicz pole podstawy korzystając ze wzoru na pole trójkąta równobocznego. Następnie użyj twierdzenia Pitagorasa, aby obliczyć długość krawędzi bocznej tego ostrosłupa. Drugi raz skorzystaj z twierdzenia Pitagorasa w celu wyliczenia wysokości ściany bocznej. Mając już wszystkie potrzebne długości oblicz pole jednej ściany bocznej. Pole powierzchni całkowitej to suma pól 6 takich samych ścian bocznych i jednej podstawy. Objętość ostrosłupa jest równa jednej trzeciej iloczynu wysokości i pola podstawy.