Odpowiedź: Wysokość drugiego ostrosłupa jest równa
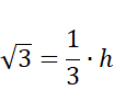
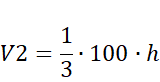
Podstawą pierwszego ostrosłupa jest trójkąt równoboczny, oblicz jego pole korzystając ze wzoru na pole trójkąta równobocznego. Podstawą drugiego ostrosłupa jest kwadrat, oblicz pole powierzchni tego kwadratu. Następnie oblicz objętość pierwszego ostrosłupa, jest ona równa jednej trzeciej iloczynu pola powierzchni podstawy i wysokości tego ostrosłupa. Następnie to samo zrób dla drugiego ostrosłupa. Przyrównaj otrzymane wyniki i wylicz wysokość drugiego ostrosłupa.