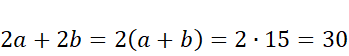
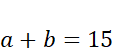
W każdym ostrosłupie zachodzi:
Odpowiedź: Ostrosłupy mają razem 17 ścian i 30 krawędzi.
Ilość ścian ostrosłupa jest równa ilości krawędzi, a więc ścian jest 17. Oznacz wielokąty w podstawie obu ostrosłupów. Skorzystaj z zależności, które zachodzą w każdym ostrosłupie do obliczenia sumy ilości kątów w obu wielokątach. Następnie skorzystaj z tego, że liczba krawędzi to podwojona suma ilości kątów w podstawie.