a - długość krawędzi podstawy
k - długość krawędzi bocznej
h - wysokość ostrosłupa
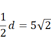
d - przekątna podstawy
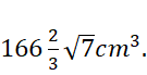
Odpowiedź: Objętość tego ostrosłupa wynosi
Podstawą tego ostrosłupa jest kwadrat. Oblicz długość krawędzi podstawy korzystając z tego, że pole kwadratu to