Odpowiedź: Długość krawędzi podstawy tego ostrosłupa to 8cm
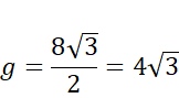
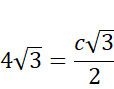
Zauważ, że trójkąt utworzony przez wysokość ściany bocznej ostrosłupa oraz wysokość tego ostrosłupa i odcinek łączący spodki tych wysokości jest połową trójkąta równobocznego. Więc wysokość ostrosłupa będzie równa połowie długości wysokości ściany bocznej. Odcinek łączący spodki tych wysokości będzie wysokością trójkąta równobocznego o boku długości 8. Podstawą tego ostrosłupa jest sześciokąt foremny, składa się on z 6 takich samych trójkątów równobocznych. Odcinek, który łączy spodek wysokości ostrosłupa ze spodkiem wysokości ściany bocznej, jest wysokością jednego takiego trójkąta równobocznego. Oblicz długość boku tego trójkąta Korzystając ze wzoru na długość wysokości trójkąta równobocznego.