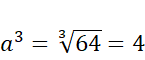
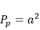
Oblicz pole podstawy ostrosłupa o objętości 64 i krawędzi podstawy trzy razy mniejszej od wysokości.
Rozwiązanie
- pole podstawy
- wysokość ostrosłupa
- krawędź podstawy
Wyjaśnienie
Objętość ostrosłupa to pole podstawy razywysokości ostrosłupa. Podstawą tego ostrosłupa jest kwadrat. Wykorzystując zależności podane w zadaniu, zapisz wysokość ostrosłupa i krawędź podstawy za pomocą jednej zmiennej. Przy pomocy tej zmiennej oblicz objętość ostrosłupa i przyrównaj ją do wartości podanej w zadaniu. Wylicz długość krawędzi, a następnie pole kwadratowej podstawy.