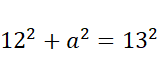
Ile wynosi pole podstawy ostrosłupa prawidłowego trójkątnego o wysokości ściany bocznej 12 i krawędzi bocznej 13.
A. 5
B. 25
C.
D.
Rozwiązanie
- krawędź podstawy ostrosłupa
- pole podstawy
Odpowiedź: D. ;C. .
Wyjaśnienie
Oblicz długość połowy krawędzi podstawy korzystając z twierdzenia Pitagorasa, a następnie oblicz pole podstawy korzystając ze wzoru na pole trójkąta równobocznego.