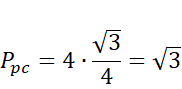
Czworościan foremny o krawędzi długości 1 ma pole powierzchni całkowitej równe
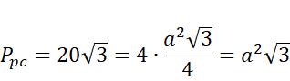
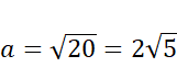
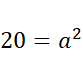
Czworościan foremny o polu powierzchni całkowitej równym
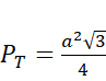
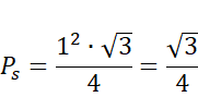
Pole powierzchni całkowitej czworościanu foremnego to suma pól czterech takich samych trójkątów równobocznych. Oblicz te pola korzystając ze wzoru na pole trójkąta równobocznego (