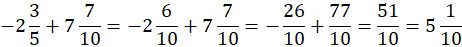
Oblicz i zaznacz właściwą odpowiedź
A. 10
B.
C.
D.
Odpowiedź D.
Musisz najpierw ujednolicić ułamki do wspólnego mianownika, a następnie dodać liczniki ułamków.
Zadanie 3.
6Zadanie 4.
6Zadanie 5.
6Zadanie 3.
8Zadanie 4.
9Zadanie 5.
9Zadanie 6.
10Zadanie 7.
10Zadanie 8.
10Zadanie 3.
11Zadanie 4.
11Zadanie 5.
11Zadanie 6.
11Zadanie 8.
12Zadanie 4.
13Zadanie 5.
13Zadanie 3.
15Zadanie 4.
15Zadanie 5.
16Zadanie 3.
17Zadanie 4.
17Zadanie 2.
19Zadanie 3.
19Zadanie 4.
20Zadanie 5.
20Zadanie 5.
21Zadanie 6.
21Zadanie 7.
22Zadanie 8.
22Zadanie 9.
22