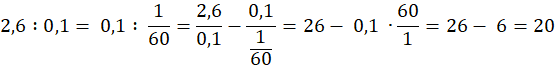
Oblicz:
Wykonując obliczenia, pamiętaj o kolejności wykonywania działań. Pierwszeństwo mają wyrażenia w nawiasach, później mnożenie i dzielenie, a na koniec dodawanie i odejmowanie.
Zadanie 3.
6Zadanie 4.
6Zadanie 5.
6Zadanie 3.
8Zadanie 4.
9Zadanie 5.
9Zadanie 6.
10Zadanie 7.
10Zadanie 8.
10Zadanie 3.
11Zadanie 4.
11Zadanie 5.
11Zadanie 6.
11Zadanie 8.
12Zadanie 4.
13Zadanie 5.
13Zadanie 3.
15Zadanie 4.
15Zadanie 5.
16Zadanie 3.
17Zadanie 4.
17Zadanie 2.
19Zadanie 3.
19Zadanie 4.
20Zadanie 5.
20Zadanie 5.
21Zadanie 6.
21Zadanie 7.
22Zadanie 8.
22Zadanie 9.
22