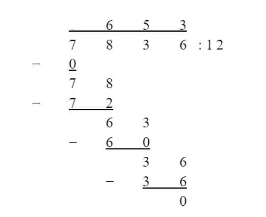
Policz, licząc pod kreską. 7836 : 12
Wykonanie dzielenia pisemnego pozwala Ci wyznaczyć resztę, to jest ostatnia liczba na dole, której nie da się dalej dzielić.
Zadanie 3.
6Zadanie 4.
6Zadanie 5.
6Zadanie 3.
8Zadanie 4.
9Zadanie 5.
9Zadanie 6.
10Zadanie 7.
10Zadanie 8.
10Zadanie 3.
11Zadanie 4.
11Zadanie 5.
11Zadanie 6.
11Zadanie 8.
12Zadanie 4.
13Zadanie 5.
13Zadanie 3.
15Zadanie 4.
15Zadanie 5.
16Zadanie 3.
17Zadanie 4.
17Zadanie 2.
19Zadanie 3.
19Zadanie 4.
20Zadanie 5.
20Zadanie 5.
21Zadanie 6.
21Zadanie 7.
22Zadanie 8.
22Zadanie 9.
22