Skul.pl
  • Opracowania zadań z podręczników
  • Matura próbna z matematyki. Poziom podstawowy. Marzec 2026
  • Zadanie 9

Matura próbna z matematyki. Poziom podstawowy. Marzec 2026

Arkusz egzaminacyjny, Wydawnictwo: CKE
Poprzednie

Zadanie 9 - strona 9

Następne

Zadanie

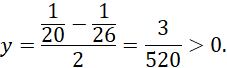
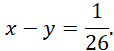
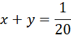
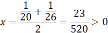
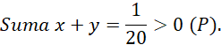
Oceń prawdziwość zdań o rozwiązaniu układu: 20x+20y=1 oraz 26x-26y=1.

Rozwiązanie

ODP: P, P

Skul

Wyjaśnienie

Obie liczby są dodatnie, więc i suma, i iloczyn są dodatnie.

Poprzednie
Następne

Matematyka - wybrane pytania

Zadanie 25, strona 75, Matematyka. Klasa 2. Zbiór zadań. Poziom podstawowy – rozwiązania i odpowiedzi
Przykład 2., strona 63, Matematyka z plusem. Klasa 3. Podręcznik. Zakres podstawowy – rozwiązania i odpowiedzi
Zadanie 2., strona 32, Matematyka wokół nas. Klasa 6. Zbiór zadań - rozwiązania i odpowiedzi
Zadanie 8., strona 241, Matematyka wokół nas. Klasa 8. Podręcznik - rozwiązania i odpowiedzi
Zadanie 8.59., strona 204, Matematyka. Klasa 3. Zbiór zadań. Zakres rozszerzony – rozwiązania i odpowiedzi
Ćwiczenie 1., strona 505, Matematyka. Klasa 3. Zakres rozszerzony. Podręcznik - rozwiązania i odpowiedzi
Zadanie 61, strona 85, Matematyka. Klasa 2. Zbiór zadań. Zakres rozszerzony – rozwiązania i odpowiedzi
Zadanie 13., strona 130, Matematyka z Plusem. Klasa 4. Podręcznik – rozwiązania i odpowiedzi
Zadanie Prosto do matury 7., strona 59, Prosto do matury. Klasa 4. Podręcznik. Zakres podstawowy - rozwiązania i odpowiedzi
Zadanie 26., strona 332, MATeMAtyka 1. Zakres podstawowy i rozszerzony. Zbiór zadań – rozwiązania i odpowiedzi
REKLAMA
Skul
Zadania z tego działu
Zadania maturalne: Matematyka poziom podstawowy
4

Zadania przypisane do działu

Zadanie 1

4

Zadanie 2

4

Zadanie 3

5

Zadanie 4

5

Zadanie 5

6

Zadanie 6

7

Zadanie 7

7

Zadanie 8

8

Zadanie 9

9

Zadanie 10

9

Zadanie 11

10

Podpunkt 11.1

10

Podpunkt 11.2

11

Podpunkt 11.3

11

Zadanie 12

12

Zadanie 13

13

Zadanie 14

14

Zadanie 15

15

Zadanie 16

15

Zadanie 17

16

Zadanie 18

17

Zadanie 19

17

Zadanie 20

18

Zadanie 21

19

Zadanie 22

20

Zadanie 23

21

Zadanie 24

22

Zadanie 25

24

Zadanie 26

25

Zadanie 27

26

Zadanie 28

27

Zadanie 29

28

Zadanie 30

29

Zadanie 31

30

Zadanie 32

31

Podpunkt 32.1

31

Podpunkt 32.2

31
Pełny spis treści
Skul
Artboard 1
Skul.pl
  • Napisz do nas
  • FAQ
  • Mapa Serwisu
  • Google Play
  • App Store

Korzystanie z portalu oznacza akceptację Regulaminu.
Polityka prywatności. Ustawienia preferencji. Copyright: INTERIA.PL 1999-2023 Wszystkie prawa zastrzeżone.