Skul.pl
  • Opracowania zadań z podręczników
  • Matura próbna z matematyki. Poziom podstawowy. Marzec 2026
  • Zadanie 16

Matura próbna z matematyki. Poziom podstawowy. Marzec 2026

Arkusz egzaminacyjny, Wydawnictwo: CKE
Poprzednie

Zadanie 16 - strona 15

Następne

Zadanie

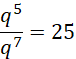
Ciąg geometryczny jest malejący i spełnia a6=25*a8. Oblicz iloraz q.

Rozwiązanie

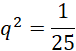
Ponieważ ciąg jest malejący (bez zmian znaku) to

ODP:

Skul

Wyjaśnienie

Iloraz ujemny dawałby zmianę znaków i brak monotoniczności malejącej całego ciągu.

Poprzednie
Następne

Matematyka - wybrane pytania

Zadanie 3, strona 11, Matematyka. Klasa 5. Zeszyt ćwiczeń – rozwiązania i odpowiedzi
Zadanie Czy to już potrafisz? 4., strona 105, Matematyka. Klasa 7. Podręcznik – rozwiązania i odpowiedzi
Zadanie 1.10., strona 370, Prosto do matury. Matematyka. Klasa 1. Zakres podstawowy. Podręcznik - rozwiązania i odpowiedzi
Zadanie 6., strona 82, Matematyka. Klasa 7. Zbiór zadań – rozwiązania i odpowiedzi
Ćwiczenie 4, strona 83, Matematyka z kluczem. Klasa 5. Zeszyt ćwiczeń - rozwiązania i odpowiedzi
Zadanie 6., strona 144, Matematyka z plusem. Klasa 3. Podręcznik. Zakres rozszerzony – rozwiązania i odpowiedzi
Zadanie 5, strona 56, Matematyka. Klasa 6. Podręcznik - rozwiązania i odpowiedzi
Ćwiczenie 3., strona 28, Matematyka z plusem. Klasa 5. Zeszyt ćwiczeń. Wersja B. Część 2/2 - rozwiązania i odpowiedzi
Zadanie 3, strona 14, Matematyka wokół nas. Klasa 6. Podręcznik – rozwiązania i odpowiedzi
Zadanie 4.89, strona 89, Matematyka. Klasa 2. Zbiór zadań. Poziom podstawowy – rozwiązania i odpowiedzi
REKLAMA
Skul
Zadania z tego działu
Zadania maturalne: Matematyka poziom podstawowy
4

Zadania przypisane do działu

Zadanie 1

4

Zadanie 2

4

Zadanie 3

5

Zadanie 4

5

Zadanie 5

6

Zadanie 6

7

Zadanie 7

7

Zadanie 8

8

Zadanie 9

9

Zadanie 10

9

Zadanie 11

10

Podpunkt 11.1

10

Podpunkt 11.2

11

Podpunkt 11.3

11

Zadanie 12

12

Zadanie 13

13

Zadanie 14

14

Zadanie 15

15

Zadanie 16

15

Zadanie 17

16

Zadanie 18

17

Zadanie 19

17

Zadanie 20

18

Zadanie 21

19

Zadanie 22

20

Zadanie 23

21

Zadanie 24

22

Zadanie 25

24

Zadanie 26

25

Zadanie 27

26

Zadanie 28

27

Zadanie 29

28

Zadanie 30

29

Zadanie 31

30

Zadanie 32

31

Podpunkt 32.1

31

Podpunkt 32.2

31
Pełny spis treści
Skul
Artboard 1
Skul.pl
  • Napisz do nas
  • FAQ
  • Mapa Serwisu
  • Google Play
  • App Store

Korzystanie z portalu oznacza akceptację Regulaminu.
Polityka prywatności. Ustawienia preferencji. Copyright: INTERIA.PL 1999-2023 Wszystkie prawa zastrzeżone.