Przyjmijmy skalę: AB=2, CD=1 oraz A=(0,0), B=(2,0), D=(1/2,h), C=(3/2,h).
Wtedy trapez jest równoramienny i AB||CD.
Niech α=∠DAB. Wówczas
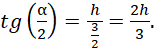
Ponieważ AC jest dwusieczną, kąt między AB i AC to α /2, więc
Z tożsamości
Po uproszczeniu dostajesz
Zatem α =60°, czyli ∠DAB=60°.
ODP: ∠DAB = 60°