Skul.pl
  • Opracowania zadań z podręczników
  • Matura próbna z matematyki. Poziom podstawowy. Marzec 2026
  • Zadanie 22

Matura próbna z matematyki. Poziom podstawowy. Marzec 2026

Arkusz egzaminacyjny, Wydawnictwo: CKE
Poprzednie

Zadanie 22 - strona 20

Następne

Zadanie

Oblicz pole koła i odejmij pole sześciokąta foremnego.

Rozwiązanie

Pole koła: π*12 = π.

W sześciokącie foremnym wpisanym w okrąg o R = 1 bok ma długość 1.

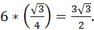
Pole sześciokąta to 6 pól trójkąta równobocznego boku 1:

Pole zacieniowane:

ODP:

Skul

Wyjaśnienie

Sześciokąt foremny można rozbić na 6 trójkątów równobocznych.

Poprzednie
Następne

Matematyka - wybrane pytania

Zadanie 1., strona 26, Matematyka z plusem. Klasa 3. Podręcznik. Zakres podstawowy – rozwiązania i odpowiedzi
Zadanie 2.122., strona 63, Matematyka. Klasa 1. Zbiór zadań. Zakres rozszerzony – rozwiązania i odpowiedzi
Zadanie 12.13., strona 265, Matematyka i przykłady jej zastosowań. Klasa 1. Podręcznik. Zakres podstawowy – rozwiązania i odpowiedzi
Zadanie Wprowadzające 4, strona 29, Matematyka. Klasa 4. Podręcznik – rozwiązania i odpowiedzi
Zadanie 2, strona 106, MATeMAtyka 1. Karty pracy ucznia. Zakres podstawowy
Zadanie 12., strona 92, Matematyka. Klasa 3. Zakres rozszerzony. Podręcznik - rozwiązania i odpowiedzi
Zadanie 6., strona 80, Matematyka wokół nas. Klasa 7. Podręcznik - rozwiązania i odpowiedzi
Zadanie wprowadzające2., strona 217, MATeMAtyka. Klasa 3. Podręcznik. Zakres podstawowy i rozszerzony – rozwiązania i odpowiedzi
Zadanie otwarte 8, strona 85, Matematyka wokół nas. Klasa 5. Zbiór zadań – rozwiązania i odpowiedzi
Zadanie 13., strona 65, Matematyka. Klasa 2. Zakres podstawowy. Zbiór zadań - rozwiązania i odpowiedzi
REKLAMA
Skul
Zadania z tego działu
Zadania maturalne: Matematyka poziom podstawowy
4

Zadania przypisane do działu

Zadanie 1

4

Zadanie 2

4

Zadanie 3

5

Zadanie 4

5

Zadanie 5

6

Zadanie 6

7

Zadanie 7

7

Zadanie 8

8

Zadanie 9

9

Zadanie 10

9

Zadanie 11

10

Podpunkt 11.1

10

Podpunkt 11.2

11

Podpunkt 11.3

11

Zadanie 12

12

Zadanie 13

13

Zadanie 14

14

Zadanie 15

15

Zadanie 16

15

Zadanie 17

16

Zadanie 18

17

Zadanie 19

17

Zadanie 20

18

Zadanie 21

19

Zadanie 22

20

Zadanie 23

21

Zadanie 24

22

Zadanie 25

24

Zadanie 26

25

Zadanie 27

26

Zadanie 28

27

Zadanie 29

28

Zadanie 30

29

Zadanie 31

30

Zadanie 32

31

Podpunkt 32.1

31

Podpunkt 32.2

31
Pełny spis treści
Skul
Artboard 1
Skul.pl
  • Napisz do nas
  • FAQ
  • Mapa Serwisu
  • Google Play
  • App Store

Korzystanie z portalu oznacza akceptację Regulaminu.
Polityka prywatności. Ustawienia preferencji. Copyright: INTERIA.PL 1999-2023 Wszystkie prawa zastrzeżone.