Oblicz wartość niewiadomej x.
Dokonano przekształceń w sposób pokazany w rozwiązaniu i otrzymano wynik końcowy.
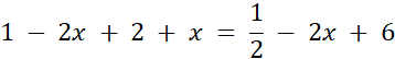
Zadanie 1.1
104Zadanie 1.2
104Zadanie 1.3
104Zadanie 1.4
104Zadanie 1.5.
105Zadanie 1.6.
105Zadanie 1.7.
105Zadanie 1.8
105Zadanie 1.9.
105Zadanie 2.1.
111Zadanie 2.2
111Zadanie 2.3.
111Zadanie 2.4.
111Zadanie 2.6
111Zadanie 2.7.
111Zadanie 2.8
112Zadanie 2.9
112Zadanie 2.10
112Zadanie 3.2
118Zadanie 3.3
118Zadanie 3.5
118Zadanie 3.6
118Zadanie 3.7
118Zadanie 3.8
119Zadanie 3.9
119Zadanie 3.10
119Zadanie 3.11
119Zadanie 3.12
119Zadanie 4.5
126Zadanie 4.6
126Zadanie 4.7
126Zadanie 4.8
126Zadanie 4.9
126Zadanie 4.10
127Zadanie 4.11
127Zadanie 4.12
127Zadanie 4.13
127Zadanie 4.14
127Zadanie 4.15
127Zadanie 5.5
131Zadanie 5.6.
131Zadanie 5.7
132Zadanie 5.8.
132Zadanie 5.9.
132Zadanie 5.10.
132Zadanie 5.11.
132Zadanie 5.12.
132Zadanie 6.3
139Zadanie 6.4
139Zadanie 6.5
140Zadanie 6.6
140Zadanie 6.7
140Zadanie 6.8
140Zadanie 6.9.
140Zadanie 6.10.
141Zadanie 6.11
141Zadanie 6.12
141Zadanie 6.13
141Zadanie 6.14.
141Zadanie 6.15.
141Zadanie 7.5
147Zadanie 7.6
147Zadanie 7.7
147Zadanie 7.8.
147Zadanie 7.11
147Zadanie 7.16
148Zadanie 8.8
155Zadanie 8.13.
156Zadanie 8.17.
156Zadanie 8.19.
156Zadanie 8.24
157Zadanie 8.30
158Zadanie 8.40
159Zadanie 8.41
159Zadanie 8.42
159Zadanie 9.5.
166Zadanie 9.6.
166Zadanie 9.7.
166Zadanie 9.8.
166Zadanie 9.9.
166Zadanie 9.10.
166Zadanie 9.11.
166Zadanie 10.1.
178Zadanie 10.2.
178Zadanie 10.3.
178Zadanie 10.4.
179Zadanie 10.5.
179Zadanie 10.6.
179Zadanie 10.7.
179Zadanie 10.8.
180Zadanie 10.9.
180Zadanie 10.10.
180Zadanie 10.11.
180Zadanie 10.12.
180Zadanie 10.13.
181Zadanie 10.18.
181Zadanie 35.
188Zadanie 36.
188Zadanie 37.
188Zadanie 38.
188Zadanie 48.
189Zadanie 51.
190