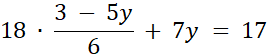
Zadanie

Przekształć jedno z równań w wyrażenie opisujące jedną z niewiadomych i wstaw je do drugiego równania.

Rozwiązanie

Wyjaśnienie

Zadania z tego działu
2. Równania i nierówności
101
Interpretacja geometryczna wartości bezwzględnej
134

Zadanie 6.3

139

Zadanie 6.4

139

Zadanie 6.5

140

Zadanie 6.6

140

Zadanie 6.7

140

Zadanie 6.8

140

Zadanie 6.9.

140

Zadanie 6.10.

141

Zadanie 6.11

141

Zadanie 6.12

141

Zadanie 6.13

141

Zadanie 6.14.

141

Zadanie 6.15.

141
Rozwiązywanie układu równań liniowych
168

Zadanie 10.1.

178

Zadanie 10.2.

178

Zadanie 10.3.

178

Zadanie 10.4.

179

Zadanie 10.5.

179

Zadanie 10.6.

179

Zadanie 10.7.

179

Zadanie 10.8.

180

Zadanie 10.9.

180

Zadanie 10.10.

180

Zadanie 10.11.

180

Zadanie 10.12.

180

Zadanie 10.13.

181

Zadanie 10.18.

181