Znajdź parę liczb, które spełniają podany układ równań. Użyj metody przeciwnych współczynników.
Rozwiązano równanie metodą przeciwnych współczynników. Metoda przeciwnych współczynników polega odpowiednim przemnożeniu obu stron danego równania tak, aby po zsumowaniu obydwu równań, wyrażenia podobne się uprościły.
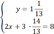
Zadanie 1.1
104Zadanie 1.2
104Zadanie 1.3
104Zadanie 1.4
104Zadanie 1.5.
105Zadanie 1.6.
105Zadanie 1.7.
105Zadanie 1.8
105Zadanie 1.9.
105Zadanie 2.1.
111Zadanie 2.2
111Zadanie 2.3.
111Zadanie 2.4.
111Zadanie 2.6
111Zadanie 2.7.
111Zadanie 2.8
112Zadanie 2.9
112Zadanie 2.10
112Zadanie 3.2
118Zadanie 3.3
118Zadanie 3.5
118Zadanie 3.6
118Zadanie 3.7
118Zadanie 3.8
119Zadanie 3.9
119Zadanie 3.10
119Zadanie 3.11
119Zadanie 3.12
119Zadanie 4.5
126Zadanie 4.6
126Zadanie 4.7
126Zadanie 4.8
126Zadanie 4.9
126Zadanie 4.10
127Zadanie 4.11
127Zadanie 4.12
127Zadanie 4.13
127Zadanie 4.14
127Zadanie 4.15
127Zadanie 5.5
131Zadanie 5.6.
131Zadanie 5.7
132Zadanie 5.8.
132Zadanie 5.9.
132Zadanie 5.10.
132Zadanie 5.11.
132Zadanie 5.12.
132Zadanie 6.3
139Zadanie 6.4
139Zadanie 6.5
140Zadanie 6.6
140Zadanie 6.7
140Zadanie 6.8
140Zadanie 6.9.
140Zadanie 6.10.
141Zadanie 6.11
141Zadanie 6.12
141Zadanie 6.13
141Zadanie 6.14.
141Zadanie 6.15.
141Zadanie 7.5
147Zadanie 7.6
147Zadanie 7.7
147Zadanie 7.8.
147Zadanie 7.11
147Zadanie 7.16
148Zadanie 8.8
155Zadanie 8.13.
156Zadanie 8.17.
156Zadanie 8.19.
156Zadanie 8.24
157Zadanie 8.30
158Zadanie 8.40
159Zadanie 8.41
159Zadanie 8.42
159Zadanie 9.5.
166Zadanie 9.6.
166Zadanie 9.7.
166Zadanie 9.8.
166Zadanie 9.9.
166Zadanie 9.10.
166Zadanie 9.11.
166Zadanie 10.1.
178Zadanie 10.2.
178Zadanie 10.3.
178Zadanie 10.4.
179Zadanie 10.5.
179Zadanie 10.6.
179Zadanie 10.7.
179Zadanie 10.8.
180Zadanie 10.9.
180Zadanie 10.10.
180Zadanie 10.11.
180Zadanie 10.12.
180Zadanie 10.13.
181Zadanie 10.18.
181Zadanie 35.
188Zadanie 36.
188Zadanie 37.
188Zadanie 38.
188Zadanie 48.
189Zadanie 51.
190