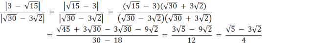
Oblicz wartość bezwzględną podanych wyrażeń.
Obliczono wartości bezwzględne podanych wyrażeń i otrzymano wynik. Pamiętaj, że wartość bezwzględna liczby jest odległością danej liczby od zera na osi liczbowej. Wartość bezwzględna nie można być liczbą ujemną.
Zadanie 1.1
104Zadanie 1.2
104Zadanie 1.3
104Zadanie 1.4
104Zadanie 1.5.
105Zadanie 1.6.
105Zadanie 1.7.
105Zadanie 1.8
105Zadanie 1.9.
105Zadanie 2.1.
111Zadanie 2.2
111Zadanie 2.3.
111Zadanie 2.4.
111Zadanie 2.6
111Zadanie 2.7.
111Zadanie 2.8
112Zadanie 2.9
112Zadanie 2.10
112Zadanie 3.2
118Zadanie 3.3
118Zadanie 3.5
118Zadanie 3.6
118Zadanie 3.7
118Zadanie 3.8
119Zadanie 3.9
119Zadanie 3.10
119Zadanie 3.11
119Zadanie 3.12
119Zadanie 4.5
126Zadanie 4.6
126Zadanie 4.7
126Zadanie 4.8
126Zadanie 4.9
126Zadanie 4.10
127Zadanie 4.11
127Zadanie 4.12
127Zadanie 4.13
127Zadanie 4.14
127Zadanie 4.15
127Zadanie 5.5
131Zadanie 5.6.
131Zadanie 5.7
132Zadanie 5.8.
132Zadanie 5.9.
132Zadanie 5.10.
132Zadanie 5.11.
132Zadanie 5.12.
132Zadanie 6.3
139Zadanie 6.4
139Zadanie 6.5
140Zadanie 6.6
140Zadanie 6.7
140Zadanie 6.8
140Zadanie 6.9.
140Zadanie 6.10.
141Zadanie 6.11
141Zadanie 6.12
141Zadanie 6.13
141Zadanie 6.14.
141Zadanie 6.15.
141Zadanie 7.5
147Zadanie 7.6
147Zadanie 7.7
147Zadanie 7.8.
147Zadanie 7.11
147Zadanie 7.16
148Zadanie 8.8
155Zadanie 8.13.
156Zadanie 8.17.
156Zadanie 8.19.
156Zadanie 8.24
157Zadanie 8.30
158Zadanie 8.40
159Zadanie 8.41
159Zadanie 8.42
159Zadanie 9.5.
166Zadanie 9.6.
166Zadanie 9.7.
166Zadanie 9.8.
166Zadanie 9.9.
166Zadanie 9.10.
166Zadanie 9.11.
166Zadanie 10.1.
178Zadanie 10.2.
178Zadanie 10.3.
178Zadanie 10.4.
179Zadanie 10.5.
179Zadanie 10.6.
179Zadanie 10.7.
179Zadanie 10.8.
180Zadanie 10.9.
180Zadanie 10.10.
180Zadanie 10.11.
180Zadanie 10.12.
180Zadanie 10.13.
181Zadanie 10.18.
181Zadanie 35.
188Zadanie 36.
188Zadanie 37.
188Zadanie 38.
188Zadanie 48.
189Zadanie 51.
190