W tym zadaniu musisz obliczyć jakim procentem liczby 120 jest wartość wyrażenia: .
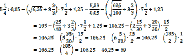
Oblicz wartość wyrażenia:
Teraz Oblicz jakim procentem liczby 120 jest 60:
Zadanie 1.
Zadanie 2.
Zadanie 3.
Zadanie 4.
Zadanie 5.
Zadanie 6.
Zadanie 7.
Zadanie 8.
Zadanie 9.
Zadanie 10.
Zadanie 11.
Zadanie 12.
Zadanie 13.
Zadanie 14.
Zadanie 15.
Zadanie 16.
Zadanie 17.
Zadanie 18.
Zadanie 19.
Zadanie 20.
Zadanie 21.
Zadanie 22.
Zadanie 23.
Zadanie 24.
Zadanie 25.
Zadanie 26.
Zadanie 27.
Zadanie 28.
Zadanie 29.
Zadanie 30.
Zadanie 31.
Zadanie 32.
Zadanie 33.