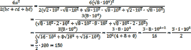
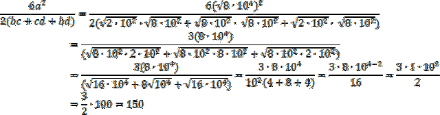
150 razy
Ile razy pole powierzchni całkowitej sześcianu o krawędzi długości
jest większe od pola powierzchni całkowitej prostopadłościanu o wymiarach
Odpowiedź na to pytanie Zapisz najpierw wzorem. Musisz podzielić przed siebie dwa pola powierzchni całkowitej, oznacz jako a krawędź sześcianu, a jako b, c oraz d krawędzie prostopadłościanu. Wzór na stosunek pól będzie wyglądał następująco:
Podstaw do wzoru długości krawędzi – wszystkie są wyrażone w centymetrach, możesz więc pominąć jednostkę, która i tak się skróci.