W tym zadaniu musisz określić monotoniczność ciągu geometrycznego.
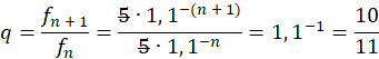
Ciąg jest malejący, gdyż
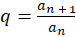
Do określenia monotoniczności ciągu geometrycznego musisz znać jego iloraz. Oblicz go jako
Ćwiczenie A.
32Ćwiczenie C.
34Ćwiczenie E.
35Zadanie F.
36Przykład 1.
36Zadanie 3.
37Zadanie 4.
37Zadanie 5.
37Zadanie 6.
37Zadanie 7.
37Zadanie 10.
38Zadanie 11.
38Zadanie 12.
38Zadanie 13.
38Zadanie 14.
39Zadanie 15.
39Zadanie 16.
39Zadanie 17.
39Zadanie 18.
40Zadanie 19.
40Zadanie 20.
40Zadanie 21.
40Zadanie 22.
40Zadanie 23.
40Zadanie 24.
40Ćwiczenie A.
41Ćwiczenie B.
42Ćwiczenie C.
42Zadanie 1.
43Zadanie 2.
43Zadanie 3.
44Zadanie 4.
44Zadanie 5.
44Zadanie 6.
44Zadanie 8.
44Zadanie 10.
44Zadanie 11.
45Zadanie 12.
45Zadanie 14.
45Zadanie 16.
45Zadanie 17.
45Zadanie 21.
46Zadanie 1.
48Zadanie 4.
48Zadanie 5.
49Zadanie 6.
49Zadanie 7.
49Zadanie 10.
50Zadanie 11.
50Zadanie 12.
50Zadanie 13.
50Zadanie 14.
50Zadanie 15.
50Zadanie 16.
50Zadanie 17.
51Zadanie 18.
51Ćwiczenie A.
52Zadanie B.
52Zadanie C.
53Zadanie 1.
55Zadanie 2.
55Zadanie 3.
55Zadanie 4.
55Zadanie 5
55Zadanie 6.
55Zadanie 7.
55Zadanie 9.
55Zadanie 10.
56Zadanie 11.
56Zadanie 12.
56Zadanie 13.
56Zadanie 14.
56Zadanie 15.
56Zadanie 16.
56Zadanie 17.
57Ćwiczenie A.
58Zadanie 1.
59Zadanie 2.
59Zadanie 3.
59Zadanie 4.
59Zadanie 5.
59Zadanie 7.
60Przykład 4.
64Zadanie 1.
64Zadanie 2.
65Zadanie 3.
65Zadanie 4.
65Zadanie 5.
65Zadanie 7.
12Zadanie 8.
66Zadanie 10.
66Zadanie 12.
66Zadanie 1.
68Zadanie 3.
68Zadanie 6.
68