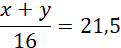
16-osobowa drużyna piłkarska osiąga średnią wieku wśród zawodników 21,5 roku. Bez kapitana ta średnia wynosi 21 lat. Ustal wiek kapitana.
x – wiek kapitana
y – suma lat zawodników bez kapitana
Odpowiedź: Kapitan tej drużyny ma 29 lat.
Wyróżniamy wiek kapitana wśród drużyny, oznaczając jego wiek przez niewiadomą i korzystając z informacji z treści, że bez niego suma wieku jest równa 21, obliczamy sumę lat pozostałych zawodników. Następnie dodajemy wiek kapitana do sumy lat zawodników i podstawiamy do wartości średniej iloraz tej sumy z ilością zawodników w mianowniku.
Zadanie 1.
214Zadanie 2.
214Zadanie 4.
214Zadanie 5.
214Zadanie 7.
215Zadanie 8.
215Zadanie 9.
215Zadanie 10.
215Zadanie 13.
216Zadanie 14.
216Zadanie 17.
216Zadanie 18.
217Zadanie 20.
217Zadanie 21.
218Zadanie 22.
218Zadanie 26.
219Zadanie 27.
219Zadanie 28.
219Zadanie 30.
219Zadanie 31.
220Zadanie 32.
220Zadanie 33.
220Zadanie 35.
220Zadanie 37.
221Zadanie 39.
222Zadanie 41.
222Zadanie 43.
222Zadanie 44.
223Zadanie 47.
224Zadanie 50.
225Zadanie 52.
225Zadanie 54.
225Zadanie 59.
226Zadanie 60.
226Zadanie 64.
227Zadanie 70.
228Zadanie 72.
229Zadanie 78.
229Zadanie 82.
230Zadanie 83.
230