25 osób z trzech klas przystąpiło do matury. Uczniowie klasy A stanowili 40% zdających, a tych z klasy C przystąpiło o 3 więcej niż z klasy B. Średnia wyników uczniów klasy B była o 6 punktów procentowych wyższa od średniego wyniku uczniów klasy A i o 2 punkty procentowe niższe od średniego wyniku uczniów klasy C. Łącznie średni wynik uzyskany przez uczniów wynosi 78,32%. Jaki był średni wynik uczniów klasy C?
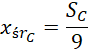
Uczniowie klasy A:
Uczniowie klasy B: x = 6
Uczniowie klasy C: x + 3 = 9
2x + 3 = 15
2x = 12
x = 6
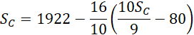
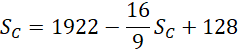
Obliczamy najpierw ilość uczniów podchodzących z poszczególnych klas. Potem rozpisujemy średnią arytmetyczną, aby wyznaczyć sumę punktów zdobytych przez uczniów klasy C.
Zadanie 1.
214Zadanie 2.
214Zadanie 4.
214Zadanie 5.
214Zadanie 7.
215Zadanie 8.
215Zadanie 9.
215Zadanie 10.
215Zadanie 13.
216Zadanie 14.
216Zadanie 17.
216Zadanie 18.
217Zadanie 20.
217Zadanie 21.
218Zadanie 22.
218Zadanie 26.
219Zadanie 27.
219Zadanie 28.
219Zadanie 30.
219Zadanie 31.
220Zadanie 32.
220Zadanie 33.
220Zadanie 35.
220Zadanie 37.
221Zadanie 39.
222Zadanie 41.
222Zadanie 43.
222Zadanie 44.
223Zadanie 47.
224Zadanie 50.
225Zadanie 52.
225Zadanie 54.
225Zadanie 59.
226Zadanie 60.
226Zadanie 64.
227Zadanie 70.
228Zadanie 72.
229Zadanie 78.
229Zadanie 82.
230Zadanie 83.
230