Ocena półroczna to średnia ważona średniej ocen ze sprawdzianów z wagą 0,25, średniej ocen z klasówek z wagą 0,55, oceny z pracy na lekcji z wagą 0,2. Ocena roczna składa się ze średniej ważonej oceny końcowej z pierwszego semestru z wagą 0,35 i drugiego z wagą 0,65. Wystaw oceny roczne i semestralne.
Ocena za I semestr
Dowcipny Jan
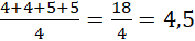
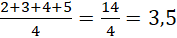
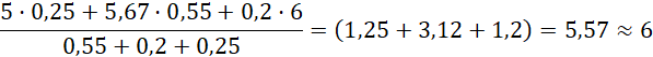
Pilna Aneta
Pracowity Adam
Ocena za II semestr
Dowcipny Jan
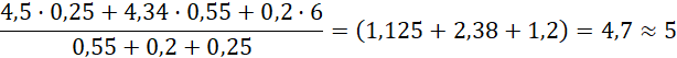
Pilna Aneta
Pracowity Adam
Ocena roczna
Dowcipny Jan
Pilna Aneta
Pracowity Adam
| Ocena za I semestr | Ocena za II semestr | Ocena roczna | |
| Dowcipny Jan | 3 | 3 | 3 |
| Pilna Aneta | 6 | 5 | 5 |
| Pracowity Adam | 4 | 4 | 4 |
Średnia ważona to narzędzie statystyczne operujące na zestawie danych. Każda z liczb ma ustaloną wagę. We wzorze w liczniku mamy sumę liczb przemnożonych przez swoje wagi, a mianownik jest równy sumie wag.
Zadanie 1.
214Zadanie 2.
214Zadanie 4.
214Zadanie 5.
214Zadanie 7.
215Zadanie 8.
215Zadanie 9.
215Zadanie 10.
215Zadanie 13.
216Zadanie 14.
216Zadanie 17.
216Zadanie 18.
217Zadanie 20.
217Zadanie 21.
218Zadanie 22.
218Zadanie 26.
219Zadanie 27.
219Zadanie 28.
219Zadanie 30.
219Zadanie 31.
220Zadanie 32.
220Zadanie 33.
220Zadanie 35.
220Zadanie 37.
221Zadanie 39.
222Zadanie 41.
222Zadanie 43.
222Zadanie 44.
223Zadanie 47.
224Zadanie 50.
225Zadanie 52.
225Zadanie 54.
225Zadanie 59.
226Zadanie 60.
226Zadanie 64.
227Zadanie 70.
228Zadanie 72.
229Zadanie 78.
229Zadanie 82.
230Zadanie 83.
230