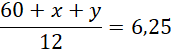
Podaj wartości niewiadomych x i y, jeżeli średnia arytmetyczna liczb: 3, 5, 4, 9, 12, 4, 9, 5, 5, 4, x, y jest równa 6,25, a dominanta wynosi 5.
60 + x + y = 75
x + y = 15
x = 5
y = 15 – 5 = 10
Średnią arytmetyczną zestawu liczb nazywamy ich sumę podzieloną przez ich ilość. Gdy już wyliczymy jaką zależność muszą spełniać x i y, to wyznaczamy ich wartości tak, aby co najmniej jedną z tych niewiadomych była 5, bo to ma być dominanta tego zestawu danych.
Zadanie 1.
214Zadanie 2.
214Zadanie 4.
214Zadanie 5.
214Zadanie 7.
215Zadanie 8.
215Zadanie 9.
215Zadanie 10.
215Zadanie 13.
216Zadanie 14.
216Zadanie 17.
216Zadanie 18.
217Zadanie 20.
217Zadanie 21.
218Zadanie 22.
218Zadanie 26.
219Zadanie 27.
219Zadanie 28.
219Zadanie 30.
219Zadanie 31.
220Zadanie 32.
220Zadanie 33.
220Zadanie 35.
220Zadanie 37.
221Zadanie 39.
222Zadanie 41.
222Zadanie 43.
222Zadanie 44.
223Zadanie 47.
224Zadanie 50.
225Zadanie 52.
225Zadanie 54.
225Zadanie 59.
226Zadanie 60.
226Zadanie 64.
227Zadanie 70.
228Zadanie 72.
229Zadanie 78.
229Zadanie 82.
230Zadanie 83.
230