W tym zadaniu posłużyć się należy wzorem na pole koła i obliczyć, jaki musi być wzajemny stosunek dwóch promieni, by pola koła wewnętrznego i zewnętrznego pierścienia były równe.
Pole mniejszego koła
Pole większego koła
Pole pierścienia
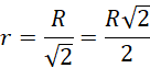
Narysowany wewnątrz okrąg ma mieć promień
Oblicz pole koła wewnętrznego i koła zewnętrznego, a następnie pole pierścienia między nimi. Przyrównaj otrzymane pole pierścienia i pole koła wewnętrznego do siebie. Znajdź relację między promieniem koła małego a koła większego, rozwiązując otrzymane równanie.
Ćwiczenie 2
283Ćwiczenie 3.1
283Ćwiczenie 3.2
283Zadanie 2
284Zadanie 3
284Zadanie 4
284Zadanie 6
285Zadanie 7
285Zadanie 8
285Zadanie 11
285Ćwiczenie 2
290Zadanie 1
290Zadanie 11
292Zadanie 12
292Ćwiczenie 5
297Zadanie 1
297Zadanie 2
297Zadanie 4
297Zadanie 7
298Zadanie 10
298Zadanie I
299Zadanie II
299Zadanie 1
306Zadanie 3
306Zadanie 4
306Zadanie 6
306Zadanie 7
306Zadanie 9
307Zadanie 10
307Zadanie 11
307Zadanie dla dociekliwych 1
308Ćwiczenie sprawdzające III
308Ćwiczenie sprawdzające IV
308Ćwiczenie sprawdzające I
313Zadanie 1.5
314Zadanie 1.6
314Zadanie 1.9
314Zadanie 2.2
315Zadanie 2.3
315Zadanie 2.5
315Zadanie 1
318Zadanie 2
318Zadanie 5
319Zadanie 7
319