W tym zadaniu posłużyć się należy wzorem na obwód i pole koła, aby obliczyć pole i obwód figury.
Pole kwadratu
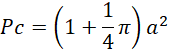
Pole dwóch półkoli (czyli jednego całego koła)
Pole całości
Obwód kwadratu
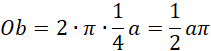
Obwód dwóch półkoli (czyli jednego całego okręgu)
Obwód całości
Oblicz pola figur. Trójkąta jako iloczyn połowy wysokości i boku, na którą opada, kwadratu jako kwadrat boku i poła jako iloczynu kwadratu promienia i liczby PI. Oblicz obwody jako sumy boków i długości okręgów (iloczyn średnicy i liczby PI).
Ćwiczenie 2
283Ćwiczenie 3.1
283Ćwiczenie 3.2
283Zadanie 2
284Zadanie 3
284Zadanie 4
284Zadanie 6
285Zadanie 7
285Zadanie 8
285Zadanie 11
285Ćwiczenie 2
290Zadanie 1
290Zadanie 11
292Zadanie 12
292Ćwiczenie 5
297Zadanie 1
297Zadanie 2
297Zadanie 4
297Zadanie 7
298Zadanie 10
298Zadanie I
299Zadanie II
299Zadanie 1
306Zadanie 3
306Zadanie 4
306Zadanie 6
306Zadanie 7
306Zadanie 9
307Zadanie 10
307Zadanie 11
307Zadanie dla dociekliwych 1
308Ćwiczenie sprawdzające III
308Ćwiczenie sprawdzające IV
308Ćwiczenie sprawdzające I
313Zadanie 1.5
314Zadanie 1.6
314Zadanie 1.9
314Zadanie 2.2
315Zadanie 2.3
315Zadanie 2.5
315Zadanie 1
318Zadanie 2
318Zadanie 5
319Zadanie 7
319