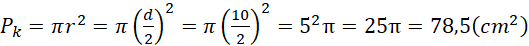
W tym zadaniu musisz obliczyć, ile będzie ważyć blacha, jeśli wytniemy z niej koło o średnicy 10 cm.
Pole koła:
Masa blaszanego koła:
Oblicz pole blachy jako iloczyn kwadratu promienia i liczby PI, a następnie pomnóż przez masę jednego centymetra kwadratowego.
Ćwiczenie 2
283Ćwiczenie 3.1
283Ćwiczenie 3.2
283Zadanie 2
284Zadanie 3
284Zadanie 4
284Zadanie 6
285Zadanie 7
285Zadanie 8
285Zadanie 11
285Ćwiczenie 2
290Zadanie 1
290Zadanie 11
292Zadanie 12
292Ćwiczenie 5
297Zadanie 1
297Zadanie 2
297Zadanie 4
297Zadanie 7
298Zadanie 10
298Zadanie I
299Zadanie II
299Zadanie 1
306Zadanie 3
306Zadanie 4
306Zadanie 6
306Zadanie 7
306Zadanie 9
307Zadanie 10
307Zadanie 11
307Zadanie dla dociekliwych 1
308Ćwiczenie sprawdzające III
308Ćwiczenie sprawdzające IV
308Ćwiczenie sprawdzające I
313Zadanie 1.5
314Zadanie 1.6
314Zadanie 1.9
314Zadanie 2.2
315Zadanie 2.3
315Zadanie 2.5
315Zadanie 1
318Zadanie 2
318Zadanie 5
319Zadanie 7
319