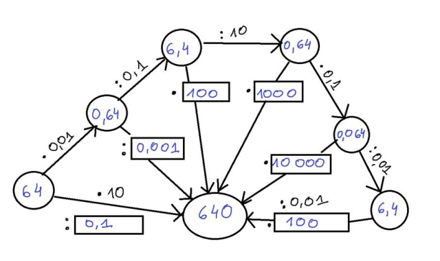
Wykonaj kolejne działania i wpisz liczby do grafu.
64 ∙ 0,01 = 0,64
0,64 : 0,1 = 6,4
6,4 : 10 = 0,64
0,64 ∙ 0,1 = 0,064
0,064 : 0,01 = 6,4
6,4 : 0,01 = 640
: 0,01 à ∙ 100
∙ 10 à 0,1
0,64 : ■ = 640
0,64 : 640 = 0,001
■ = 0,001
6,4 ∙ ■ = 640
640 : 6,4 = 100
■ = 100
0,64 ∙ ■ = 640
640 : 0,64 = 1000
■ = 1000
0,064 ∙ ■ = 640
640 : 0,064 = 10 000
■ = 10 000
Wykonaj kolejne działania zgodnie z kierunkiem, który wskazują strzałki. Pamiętaj, że dzielenie przez 0,01 to mnożenie przez 100. Inne działania można zamienić w podobny sposób.
Zadanie 1.
3Zadanie 4.
3Zadanie 7.
4Zadanie 8.
4Zadanie 10
4Zadanie 12
5Zadanie 13
5Zadanie 14
5Zadanie 16
6Zadanie 1.
7Zadanie 2.
7Zadanie 1
8Zadanie 2.
8Zadanie 3.
8Zadanie 5.
8Zadanie 7.
9Zadanie 9.
9Zadanie 10.
9Zadanie 1.
11Zadanie 2.
11Zadanie 3.
11Zadanie 4.
11Zadanie 5.
12Zadanie 6.
12Zadanie 7.
12Zadanie 8.
12Zadanie 13.
14Zadanie 14.
14Zadanie 18.
15Zadanie 19.
15Zadanie 20.
15Zadanie 21
15Zadanie 22.
15Zadanie 2.
16Zadanie 4.
16Zadanie 6.
17Zadanie 7.
17Zadanie 8.
17Zadanie 10.
18Zadanie 11.
18Zadanie 1.
20Zadanie 2.
21Zadanie 3.
21Zadanie 6.
22Zadanie 7.
22Zadanie 8.
22Zadanie 9.
22Zadanie 4.
24Zadanie 5.
24Zadanie 6.
24Zadanie 7.
24Zadanie 9.
24Zadanie 10.
24Zadanie 11.
24