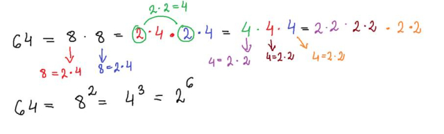
Zastanów się, do jakiej potęgi trzeba podnieść 2, żeby otrzymać 4 i 8, do jakiej trzeba podnieść 3, żeby dostać 9, a do jakiej 5, żeby dostać 25 i zastanów się nad zależnościami.
64 = 82 = 43 = 26
81 = 92 = 34
625 = 252 = 54
Jeżeli masz trudność z obliczeniem potęg w głowie, to pierwszy przykład można rozpisać tak:
Pozostałe wykonaj podobnie.
Zadanie 1.
3Zadanie 4.
3Zadanie 7.
4Zadanie 8.
4Zadanie 10
4Zadanie 12
5Zadanie 13
5Zadanie 14
5Zadanie 16
6Zadanie 1.
7Zadanie 2.
7Zadanie 1
8Zadanie 2.
8Zadanie 3.
8Zadanie 5.
8Zadanie 7.
9Zadanie 9.
9Zadanie 10.
9Zadanie 1.
11Zadanie 2.
11Zadanie 3.
11Zadanie 4.
11Zadanie 5.
12Zadanie 6.
12Zadanie 7.
12Zadanie 8.
12Zadanie 13.
14Zadanie 14.
14Zadanie 18.
15Zadanie 19.
15Zadanie 20.
15Zadanie 21
15Zadanie 22.
15Zadanie 2.
16Zadanie 4.
16Zadanie 6.
17Zadanie 7.
17Zadanie 8.
17Zadanie 10.
18Zadanie 11.
18Zadanie 1.
20Zadanie 2.
21Zadanie 3.
21Zadanie 6.
22Zadanie 7.
22Zadanie 8.
22Zadanie 9.
22Zadanie 4.
24Zadanie 5.
24Zadanie 6.
24Zadanie 7.
24Zadanie 9.
24Zadanie 10.
24Zadanie 11.
24